| ◆◆ニュース◆◆ 新刊『日本建国史』ただいま先行予約受付中です。 https://amzn.to/2LuOGgX |
| 西から本がこなくなっても、学問をしようというなら、自分で何かやるより仕方が無いのだ。 おそらく世界大戦が無かったならば、私なんか何もやらないで終わっていたかも知れない。 |


人気ブログランキング
応援クリックは←こちらから。いつもありがとうございます。
歴史を学ぶことでネガティブをポジティブに
小名木善行です。
明治31(1898)年のことです。
東京帝国大学理学部を卒業し、東大大学院で数学を学んだある若者が、文部省からの命でドイツに留学しました。
当時のドイツは、科学研究のメッカであり、特に数学では、世界一の水準でした。
若者を迎えたドイツ・ベルリン大学では、当時のドイツ数学界の第一人者であるフロベニウス教授が、ある日の挨拶の中で、次のように述べたそうです。
「最近、外国人がしきりに
ドイツへ科学の勉強にやって来る。
アメリカ人も来るし、
いろんな国からも来る。
近頃では猿さえもやって来た。」
時代には時代の気分というものがあります。
当時の欧州社会では、黄色人種は、ただの「猿」だと認識されていた時代です。
ところがこのとき「猿」に比せられた日本人の若者は、世界中の数学者が束になっても解けなかった数学の超難問「クロネッカーの青春の夢」を、世界ではじめて解いてしまいました。
それどころか、嘉永3(1850)年来、およそ百年もの間、世界中の誰も解くことができなかった難問を、「類対論」によって完膚なきまでに解き明かしてしまう。
そしてその日本人は世界中の誰もが認める国際的な数学者となり、日本の数学界は、一躍世界のトップクラスとみなされるようになったのです。
その若者の名前は、高木貞治(たかぎていじ)といいます。
明治8(1875)年の生まれです。
出身は、岐阜県本巣郡数屋村(現・本巣市)です。
最新刊
幼いころに、村役場の収入役をしていた実母の兄・勘介の養子になっています。
幼いころから、人並み外れて物覚えが達者で、4~5歳の頃には、たまたま行ったお寺での坊さんの説教を、帰宅後にそっくりそのまま聞かせたり、親鸞聖人の御伝鈔などを、暗唱したりするなど、おとな達をびっくりさせたといったエピソードが残っています。
明治15年4月、地元の一色学校に入学したのだけれど、成績は飛びきり優秀。
なんと、1年生の次には3年生となり、3年生の次には5年生に飛び級し、6年生の小学校を、わずか3年で卒業しています。
ところが、これだけ優秀な子供でありながら、養父は厳格に貞治をしつけました。
学校で2番だったりすると、罰として重い机を背負わせて、寒中であっても家の外に立たせたそうです。
この時代の人の幼年時代の記録を見ると、とにかくしつけや教育には、どの家庭もものすごく厳格なことに気づきます。
後年海軍出身で日本の総理大臣になる山本権兵衛(やまもとごんべい)は、雪の降る寒い朝に庭で槍の稽古をしていて、たまたま権兵衛が寒さのあまりかじかんだ手にホウホウと息をかけていたら、親父さんが裸足で庭に飛び降りるなり、権兵衛を怒鳴りつけ、権兵衛の頭をつかんで、雪の中にねじこんでいます。
山本家では、寒中でも毎晩、井戸水を石鉢に汲み、翌朝、凍った水で、子供たちに縁や棚を拭かせていました。
女性でも、杉本鉞子(すぎもとえつこ)は、6歳から漢文の素読をはじめ、学習中に畳の上に正坐して、手と口以外がほんのちょっと動いただけで、恥ずかしいことと、きびしくしつけられたそうです。
昨今では、日教組教育の影響で、「しつけ」そのものがなにやら「悪いこと」のようにみられ、まして体罰などもっての外という風潮があるけれど、子供でも大人でも、「厳しさ」があるから人間が鍛え上げられるのです。
安閑とした中では、人は甘ったれるだけです。
高木貞治も、もとより高い素質を持って生まれ、それを厳しいしつけによって、さらに砥ぎすさまれた。
それが「猿が来た」と疎んじられながら、世界に名だたる大数学者を作った遠因となっているのだと、思います。
さて、小学校を卒業した高木貞治は、岐阜県きっての名門中学である岐阜尋常中学校(現・岐阜高校)に、わずか11歳で進学します(通常は16~7歳で入学)。
中学までは、片道で12Kmもあったそうです。
自動車も電車もありません。
彼は、雨の日も雪の日も、これを歩いて通いました。
片道3時間の道のりです。
そして明治24(1891)年3月、なんと一番の年少者の高木貞治が、成績1番で岐阜尋常中学校を卒業してしまっています。
この年の9月、貞治は、京都の第三高等中学校に入学しました。
この第三高等中学は、国立高校です。
帝大の予備校的な学校です。
貞治は京都で下宿生活を送るのですが、京都に行ってまもなくの10月28日に、濃尾地震が起こりました。
この地震の震源地は、貞治の実家のある本巣市です。
マグネチュード8.0、日本の陸地で発生した地震としては、史上最大の地震です。
この地震を報じる新聞社の第一報は、「ギフナクナル(岐阜無くなる)」だったそうです。
それくらいひどい地震でした。
この地震を新聞で知った貞治は、親の安否を気遣い、すぐに帰省しました。
ところが、汽車は米原から先が不通です。
貞治は、夜を日に継いで、家まで歩いて帰りました。
幸い、家は離れが倒壊しただけで、母屋は無事で死傷者もありませんでした。
義父の勘助は、
「お前には学問という大切なことがあるはずだ。
家のことなど心配する必要などない。
すぐ京都へ帰れ」
と貞治を叱り飛ばします。
叱るだけじゃなく、家にすら入れようとしませんでした。
母は、もう日も暮れるし、せめて今夜だけでも泊まらせたら、それがだめなら、せめて食事だけでもととりなしたけれど、いっさいとりあわない。
問答無用です。
そのまま追い返してしまいました。
後年、高木貞治は、
「あのとき
家に入れてくれなかった父のおかげで
自分は大成できた」
と語っています。
どんな苦労があっても、やるべきことをやる。すべきことをする。
そういう精神性は、やはり「厳しさ」の中から身に着くのです。
そういうことを、いまの日本の教育は、いまいちど見直すべきかと思います。
義父の勘介だって、「こいつ、よくぞ帰ってきたな」と内心はうれしいのです。
けれど、家のことは俺がちゃんとする。
おまえは一族の、そして日本の期待がかかっている男なのだ。
ならば家のことは心配しなくてもいいから、おまえは勉強に打ち込め!というのが、勘介の思いです。
そしてその思いが、貞治には痛いほどわかりました。
「わかる」というためには、相互の信頼関係がそこになければなりません。
相互信頼に、「物証」はあるのか、と問われれば、そんなものはありません。
互いの心を忖度(そんたく)するのです。
互いの心を読む。
実は、そうした中にこそ、ほんものの信頼関係は生まれる。
そういうものです。
だから貞治は、決意も新たに、京都の下宿に歩いて戻りました。
三年後の明治27(1894)年、日清戦争に日本が勝利した年、高木貞治は、日本でただひとつの理学部である東京帝国大学数学科に入学しました。
帝大では、菊池大麓(だいろく)教授について、勉強しました。
このときの菊池大麓の授業は、貞治にとって、数学研究の醍醐味を味わい尽くす、素晴らしいものだったといいます。
菊池大麓は、後年、当代の学長を経て、文部大臣となり、我が国の理数系の育成に貢献した逸材です。
貞治は晩年、
「先生が今でも尊敬しておられる方はどなたですか?」
と聞かれると、迷うことなく「恩師の菊池先生です」と答えています。
明治30(1897)年、東京帝国大学理科大学を卒業して、大学院へ進んだ貞治は、翌、明治31年、文部省からドイツ留学を命ぜられ、その年の8月31日に、横浜港を後にします。
そしてドイツに着いて最初に受けた洗礼が、冒頭の「次は猿が来るだろう」だったわけです。
けれど、学問の志に燃える貞治は、その程度の中傷にはいっこうにへこたれません。
貞治は、ベルリン大学で代数の研究に着手すると、1年半後には、ゲッチンゲン大学に移籍して、著名な数学者ヒルベルトのもとで学びます。
ヒルベルトという人は、19世紀末から1930年頃まで、世界の数学者のナンバーワンといわれた人です。
そしてそのヒルベルトが、明治33(1900)年に、パリで開催された第二回国際数学者会議(ICM:International Congress of Mathematicians)の席上「世界の数学者よ、数学上の未解決の大問題を解決せよ!」と大講演を行いました。
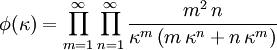
そこで提起された問題が、「クロネッカーの青春の夢」と呼ばれる難問です。
これは、ドイツの数学者レオポルト・クロネッカーの総実代数多様体上の零点の分布に関して、
「関数を複素数全体に拡張した場合、
φ(κ)の根は必ず1のベキ乗根の
有理整数係数の有理関数として
表されるのではないか」
と「予想」したものです。
ところがこの「予想」を、数理学上で証明することができないのです。

このテーマをもらって明治34(1901)年に帰国した貞治は、そのまま東京帝国大学理科大学数学科の助教授に就任すると、代数学講座を担任しながら、なんと明治36(1903)年に、この難問を解いてしまうのです。
そして貞治はこの解の論文を、「東京帝国大学理学部紀要」に発表し、理学博士の学位を得ます。
ちなみに、日本の数学の博士論文の第一号が、このときの貞治の論文です。
この頃、大学近くの文京区本郷曙町に住んでいた貞治は、明治35年にお見合いで結婚しました。
そしてそれから10年、帝大教授として判で押したような規則正しい毎日の生活を送る。
ところが、大正3(1914)年7月に、第一次世界大戦が勃発します。
同年8月、日英同盟を結んでいた日本は、ドイツに宣戦布告する。
こうなると、数学先進国のドイツの論文などが、まるで手に入らなくなります。
それまでドイツの文献で多くの知識を得てきた貞治は、嫌応なく、自分自身で問題を提起し、自らの発想で考えて解決していかなければならなくなった。
そのときの心境を後年、貞治は次のように告白しています。
「西から本がこなくなっても、
学問をしようというなら、
自分で何かやるより仕方が無いのだ。
おそらく世界大戦が無かったならば、
私なんか何もやらないで終わっていたかも知れない。」
『近世数学史談』「回想と展望」
そしてついに、貞治は、「任意のアーベル拡大体は類体である」という「タカギ類対論」を顕します。
このタカギ理論は、ハルレ大学のヘルムート・ハッセ教授が詳細に検証し、この理論が正しいことを証明したものです。
これによって貞治は、日本で最初の世界的な数学者として内外から脚光を浴び、日本の数学界の地位を一挙に世界のトップクラスに引き上げています。
貞治が、大学教授として平穏無事な生活を東京の本郷ですごした10年の頃の話です。
貞治は、鼻眼鏡をかけてピンとはねたカイゼル髭(ひげ)を生やし、三つ揃えの背広に蝶ネクタイという、典型的な洋行帰りのハイカラさん姿だったそうです。
けれども、ご長男の話によると、このころの貞治は、相当いらいらしていた様子だったという。
何でもないことでも、よく腹をたてていたのだそうです。
高木貞治博士自身も、この当時のことを、「自分はノイローゼにかかっていたようだ」と告白しています。
幼い頃から「一人で勉強する」という姿勢で育てられた貞治にとって、挑戦するものを失ったその平穏な日々こそが、苦痛だったのです。
その貞治は、たまたま起こった第一次世界大戦によって、ドイツの数理本が手に入らなくなるという事態を前にして、彼が本来もっていたDNAが覚醒しました。
そして彼は、誰も解けなかった「類対論」の解決へと、自らの目標を定めたのです。
日本は、元寇も、黒船も、戦争も、これまでの日本は、見事に乗り越えて、いまに至っています。
この危機を救うのは、日本人としてのDNAに目覚めた日本人です。
いまは「鬼子」や「豚足」とみなされても、目覚めた日本人のDNAは、これから世界にはばたく日本を築くのです。
危機はチャンスです。
※この記事は2011年2月の記事のリニューアルです。
お読みいただき、ありがとうございました。
歴史を学ぶことでネガティブをポジティブに
小名木善行でした。

人気ブログランキング
↑ ↑
応援クリックありがとうございます。
講演や動画、記事などで有償で活用される場合は、
メールでお申し出ください。
nezu3344@gmail.com
最新刊
| 《塾・講演等の日程》 どなたでもご参加いただけます。 第79回倭塾 1月16日(土)13時〜17時 富岡八幡宮婚儀殿2F 第80回倭塾 2月21日(日)13時〜17時 富岡八幡宮婚儀殿2F 第81回倭塾 3月21日(日)13時〜17時 富岡八幡宮婚儀殿2F 第82回倭塾 4月17日(土)13時〜17時 富岡八幡宮婚儀殿2F |
|
◆ニュース◆ ○最新刊『ねずさんの知っておきたい日本のすごい秘密』2020/9/19発売。 ○『[復刻版]初等科国語 [高学年版]』絶賛発売中!! ○『ねずさんの世界に誇る覚醒と繁栄を解く日本書紀』絶賛発売中!! ○『ねずさんの奇跡の国 日本がわかる万葉集』絶賛発売中。 |
| 『ねずさんのひとりごとメールマガジン』 |


